前置知识
字典树 Trie
Trie 是一种能够快速插入和查询字符串的多叉树结构。节点的编号各不相同,根节点编号为0,其他节点用来标识路径还可以标记单词插入的次数。边表示字符。
支持操作
Trie 维护字符串的集合,支持两种操作:
- 向集合中插入一个字符串:
void insert(char *s) - 在集合中查询一个字符串:
int query(char *s)
建字典树
- 儿子数组
ch[p][j]存储从节点p沿着j这条边走到的子节点。- 边为
26个小写字母a~z对应的映射值0~25。 - 每个节点最多可以有
26个分叉。
- 边为
- 计数数组
cnt[p]存储以节点p结尾的单词的插入次数。 - 节点编号
idx用来给节点编号。
实现思想
- 空
Trie仅有一个根节点,编号为0。 - 从根结点开始插,枚举字符串的每个字符:
- 如果有儿子,则
p指针走到儿子; - 如果没儿子,则先创建儿子,
p指针再走到儿子。
- 如果有儿子,则
- 在单词结束点记录插入次数。
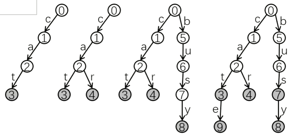
- 例如:依次插入
"cat", "car", "busy", "cate", "bus", "car":
代码实现
const int N = 1e6 + 3;
int n;
string s;
int ch[N][27], cnt[N], idx;
void insert(string s){
int p = 0;
for(int i = 0; i < s.size(); i ++){
int j = s[i] - 'a'; //字母的映射值
if(!ch[p][j]) ch[p][j] = ++ idx;
p = ch[p][j];
}
cnt[p] ++; //插入次数
}
int query(string s){
int p = 0;
for(int i = 0; i < s.size(); i ++){
int j = s[i] - 'a';
if(!ch[p][j]) return 0;
p = ch[p][j];
}
return cnt[p];
}
例题
Trie字符串统计
维护一个字符串集合,支持两种操作:
I x向集合中插入一个字符串 $x$;Q x询问一个字符串在集合中出现了多少次。
共有 $N$ 个操作,所有输入的字符串总长度不超过 $10^5$,字符串仅包含小写英文字母。
输入格式
第一行包含整数 $N$,表示操作数。
接下来 $N$ 行,每行包含一个操作指令,指令为 I x 或 Q x 中的一种。
输出格式
对于每个询问指令 Q x,都要输出一个整数作为结果,表示 $x$ 在集合中出现的次数。
每个结果占一行。
数据范围
$1≤N≤2\times 10^4 $
输入样例:
5
I abc
Q abc
Q ab
I ab
Q ab
输出样例:
1
0
1
代码:
#include <bits/stdc++.h>
using namespace std;
const int N = 1e6 + 3;
int n;
string s;
int ch[N][27], cnt[N], idx;
void insert(string s){
int p = 0;
for(int i = 0; i < s.size(); i ++){
int j = s[i] - 'a'; //字母的映射值
if(!ch[p][j]) ch[p][j] = ++ idx;
p = ch[p][j];
}
cnt[p] ++; //插入次数
}
int query(string s){
int p = 0;
for(int i = 0; i < s.size(); i ++){
int j = s[i] - 'a';
if(!ch[p][j]) return 0;
p = ch[p][j];
}
return cnt[p];
}
void solve(){
int n; cin >> n;
while(n --){
string op; cin >> op >> s;
if(op == "I") insert(s);
else cout << query(s) << endl;
}
}
int main(){
solve();
return 0;
}
最大异或对
在给定的 $N$ 个整数 $A_1,A_2……A_N$ 中选出两个进行 $xor$(异或)运算,得到的结果最大是多少?
输入格式
第一行输入一个整数 $N$。
第二行输入 $N$ 个整数 $A_1,A_2……A_N$。
输出格式
输出一个整数表示答案。
数据范围
$1\le N \lt 10^5, 0\le A_i\le 2^{31}$
输入样例:
3
1 2 3
输出样例:
3
思想:
- 异或运算即对数的二进制位进行运算,则先将 $N$ 个整数均转化为二进制数表示。
- 二进制是
01构成的串,构造Tire树,在树枝上进行异或运算。 - 用
Trie存整数,由整数的二进制位构造的Trie,是一颗二叉树,深度为31层。
本质上:
- 用
Trie存单词,由26个小写字母构造的Trie,是一颗26叉树,深度为最长单词的长度。 - 用
Trie存整数,由整数的十进制位构造的Trie,是一颗10叉树,深度为10层。
代码:
#include <bits/stdc++.h>
using namespace std;
const int N = 1e6 + 3;
int n;
int a[N]; //存数
int ch[N * 31][3], cnt[N], idx;
void insert(int x){
int p = 0;
for(int i = 30; i >= 0; i --){
int j = x >> i & 1; //取出第 i 位
if(!ch[p][j]) ch[p][j] = ++ idx;
p = ch[p][j];
}
}
int query(int x){
int p = 0, res = 0;
for(int i = 30; i >= 0; i --){
int j = x >> i & 1; //取出第 i 位
if(ch[p][!j]){
res += 1 << i; //累加位权
p = ch[p][!j];
}
else p = ch[p][j];
}
return res;
}
void solve(){
int ans = 0;
cin >> n;
for(int i = 0; i < n; i ++) cin >> a[i], insert(a[i]);
for(int i = 0; i < n; i ++) ans = max(ans, query(a[i]));
cout << ans << endl;
}
int main(){
solve();
return 0;
}
AC自动机
基础概念
自动机是一个对信号序列进行判定的数学模型。
AC 自动机顾名思义就是 自动AC的机器,可以帮助你将难题直接Accept掉。
AC 自动机全称为 (Aho-Corasick automaton),该算法在 1975 年产生于贝尔实验室,是著名的多模匹配算法。所谓多模匹配算法,最常见的例子是给出 n 个单词,再给出一段包含 m 个字符的文章,让你找出有多少个单词在文章里出现过。
AC 自动机是 以 Trie 的结构为基础,结合 KMP 的思想 建立的。
实现思想
简单来说,建立一个 AC 自动机有两个必要结构:
- 基础的
Trie结构:- 先用
n个模式串构造一颗Trie。 Trie中的一个节点表示一个从根到当前节点的字符串,其中,根节点表示空串。- 如果节点是个模式串,则打个标记。
- 先用
KMP的思想:- 对
Trie上所有的结点构造失配指针。 - 即在
Trie上构建两类边:回跳边和转移边。
- 对
最后就可以利用它扫描主串进行多模式匹配。

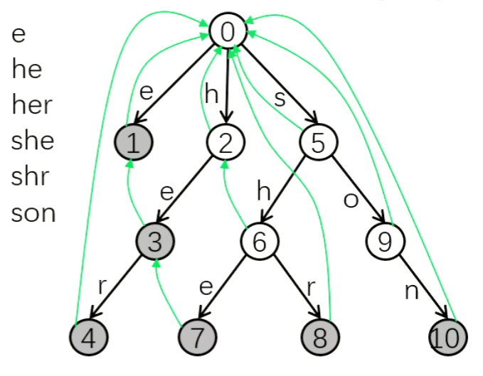
节点 $⑤$ 表示 "s",节点 $⑥$ 表示 "sh",节点 $⑦$ 表示 "she"。
具体地,对于构建两类边:
-
回跳边:
ne[v]存节点v的回跳边的终点。ne[7] = 3- 回跳边指向父节点的回跳边所指节点的儿子。
- 四个点(
v,u,ne[u],ch[][])构成四边形。 - 回跳边所指节点一定是当前节点的最长后缀。
-
转移边:
-
ch[u][i]存节点u的树边的终点。ch[6][e] = 7。 -
ch[u][i]存节点u的树边的终点。ch[6][e] = 7。 -
ch[u][i]存节点u的转移边的终点。ch[7][r] = 4 -
转移边指向当前节点的回跳边所指节点的儿子。
-
三个点(
u,ne[u],ch[][])构成三角形。 -
转移边所指节点一定是当前节点的最短路。
-
-
构造
AC自动机:- 初始化,把根节点的儿子们入队。
- 只要队不空,节点
u出队,枚举u的26个儿子: - 若儿子存在,则爹帮儿子建回跳边,并把儿子入队。
- 若儿子不存在,则爹自建转移边。
如图建立 AC 自动机的回跳边,转移边同理。
- 查找单词出现次数:
- 扫描主串,依次取出字符
s[k] ⅰ指针走主串对应的节点,沿着树边或转移边走且保证不回退。j指针沿着回跳边搜索模式串,每次从当前节点走到根节点,把当前节点中的所有后缀模式串遍历完,保证不漏解。- 扫描完主串,返回答案。
- 扫描主串,依次取出字符
代码实现
const int N = 5e5 + 3;
int n;
string s;
int ch[N][26], cnt[N], idx;
int ne[N];
void insert(string s){ //键 Tire 树
int p = 0;
for(int i = 0; i < s.size(); i ++){
int j = s[i] - 'a';
if(!ch[p][j]) ch[p][j] = ++ idx;
p = ch[p][j];
}
cnt[p] ++;
}
void build(){ //建 AC 自动机
queue<int> q;
for(int i = 0; i < 26; i ++){
if(ch[0][i]) q.push(ch[0][i]); //根节点儿子入队
}
while(q.size()){
int u = q.front(); q.pop();
for(int i = 0; i < 26; i ++){
int v = ch[u][i];
if(v) ne[v] = ch[ne[u]][i], q.push(v); //儿子存在,爹帮儿子建回跳边,儿子入队
else ch[u][i] = ch[ne[u]][i]; //儿子不存在,爹自建转移边
}
}
}
int query(string s){ //扫描主串查询
int ans = 0;
for(int k = 0, i = 0; k < s.size(); k ++){
i = ch[i][s[k] - 'a'];
for(int j = i; j && ~ cnt[j]; j = ne[j]){
ans += cnt[j], cnt[j] = -1; //找到后退出,加速查询
}
}
return ans;
}
例题
搜索关键词
给定 $n$ 个长度不超过 $50$ 的由小写英文字母组成的单词,以及一篇长为 $m$ 的文章。
请问,其中有多少个单词在文章中出现了。
注意:每个单词不论在文章中出现多少次,仅累计 1 次。
输入格式
第一行包含整数 $T$,表示共有 $T$ 组测试数据。
对于每组数据,第一行一个整数 $n$,接下去 $n$ 行表示 $n$ 个单词,最后一行输入一个字符串,表示文章。
输出格式
对于每组数据,输出一个占一行的整数,表示有多少个单词在文章中出现。
数据范围
$1\le n \le 10^4, 1\le m \le 10^6$
输入样例:
1
5
she
he
say
shr
her
yasherhs
输出样例:
3
代码:
#include <bits/stdc++.h>
using namespace std;
const int N = 5e5 + 3;
int n;
string s;
int ch[N][26], cnt[N], idx;
int ne[N];
void insert(string s){
int p = 0;
for(int i = 0; i < s.size(); i ++){
int j = s[i] - 'a';
if(!ch[p][j]) ch[p][j] = ++ idx;
p = ch[p][j];
}
cnt[p] ++;
}
void build(){ //建 AC 自动机
queue<int> q;
for(int i = 0; i < 26; i ++){
if(ch[0][i]) q.push(ch[0][i]);
}
while(q.size()){
int u = q.front(); q.pop();
for(int i = 0; i < 26; i ++){
int v = ch[u][i];
if(v) ne[v] = ch[ne[u]][i], q.push(v);
else ch[u][i] = ch[ne[u]][i];
}
}
}
int query(string s){
int ans = 0;
for(int k = 0, i = 0; k < s.size(); k ++){
i = ch[i][s[k] - 'a'];
for(int j = i; j && ~ cnt[j]; j = ne[j]){
ans += cnt[j], cnt[j] = -1;
}
}
return ans;
}
void solve(){
idx = 0;
memset(ch, 0, sizeof ch);
memset(cnt, 0, sizeof cnt);
memset(ne, 0, sizeof ne);
cin >> n;
for(int i = 0; i < n; i ++){
cin >> s; insert(s);
}
build();
cin >> s;
cout << query(s) << endl;
}
int main(){
int _; cin >> _;
while(_ --) solve();
return 0;
}
单词
某人读论文,一篇论文是由许多单词组成的。
但他发现一个单词会在论文中出现很多次,现在他想知道每个单词分别在论文中出现多少次。
输入格式
第一行一个整数 $N$,表示有多少个单词。
接下来 $N$ 行每行一个单词,单词中只包含小写字母。
输出格式
输出 $N$ 个整数,每个整数占一行,第 $i$ 行的数字表示第 $i$ 个单词在文章中出现了多少次。
数据范围
$1≤N≤200$
所有单词长度的总和不超过 $10^6$。
输入样例:
3
a
aa
aaa
输出样例:
6
3
1
思想:
- 求每个单词在全文中出现的次数,即该单词在其他单词中出现次数的总和。
- 故该单词在其他单词中的前缀的后缀即为该单词出现次数的总和。
- 在建
AC自动机时利用BFS从第0层搜索到n层,需要保留堆的信息进行递推计算,且递推计算出现的次数时必须逆序。
代码:
#include <bits/stdc++.h>
using namespace std;
const int N = 1e6 + 3;
int n;
string s;
int ch[N][26], cnt[N], idx;
int ne[N], num[N];
int id[N]; //记录
void insert(int x){
int p = 0;
for(int i = 0; i < s.size(); i ++){
int j = s[i] - 'a';
if(!ch[p][j]) ch[p][j] = ++ idx;
p = ch[p][j];
cnt[p] ++; //统计前缀的次数,每一个结束的位置都代表一个字符串
}
id[x] = p; //记录截止位置
}
void build(){ //建 AC 自动机
//由于后续递推求前缀出现的次数,故需要保留堆的信息
int hh = 0, tt = -1;
for(int i = 0; i < 26; i ++){
if(ch[0][i]) num[++ tt] = ch[0][i];
}
while(hh <= tt){
int u = num[hh ++];
for(int i = 0; i < 26; i ++){
int v = ch[u][i];
if(v) ne[v] = ch[ne[u]][i], num[++ tt] = v;
else ch[u][i] = ch[ne[u]][i];
}
}
}
void solve(){
cin >> n;
for(int i = 0; i < n; i ++){
cin >> s; insert(i); //i 为当前单词对应编号
}
build();
//递推更新 cnt, trie 中节点编号为 0 ~ idx,一共 idx + 1 个点,0 既代表根节点又代表空节点
for(int i = idx; i >= 0; i --) cnt[ne[num[i]]] += cnt[num[i]];
for(int i = 0; i < n; i ++) cout << cnt[id[i]] << endl;
}
int main(){
solve();
return 0;
}


